RNLeave_Your_Message
القيم الأساسية للمؤسسة
شغف، سعي، براغماتية، واعد
الرؤية المؤسسية
أن تصبح رائدا عالميا في تخزين الطاقة الذكي
المهمة المؤسسية
دع الطاقة النظيفة تدخل آلاف الأسر

لا يقتصر تصميم نظام توليد الطاقة الشمسية على تجميع المكونات فحسب ؛ يتعلق الأمر بإنشاء إعداد متوازن وفعال يلبي احتياجاتك الخاصة من الطاقة. يرشدك هذا الدليل خلال الخطوات الرئيسية ، مما يضمن أن يكون لديك فهم شامل لكل جانب.
1. اختيار مكونات نظام الطاقة الشمسية الكهروضوئية
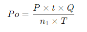
حساب طاقة الألواح الشمسية:
الطاقة المولدة من الألواح الشمسية هي العمود الفقري لنظامك. لضمان توليد ما يكفي من الكهرباء ، تحتاج إلى حساب طاقة الألواح الشمسية المطلوبة (بو). صيغة هذا الحساب هي:

أين:
ف (تحميل الطاقة): إجمالي استهلاك الطاقة لجميع الأجهزة المتصلة (بالواط). وهذا يشمل الأجهزة مثل الأضواء والثلاجات ومكيفات الهواء.
تي (وقت الاستخدام): كم من الوقت تعمل هذه الأجهزة يوميا (بالساعات).
ن1 (الكفاءة): كفاءة التحويل للنظام ، عادة حوالي 85٪. هذا يفسر فقدان الطاقة أثناء التحويل من التيار المستمر إلى التيار المتردد.
تي (ساعات ضوء الشمس): متوسط عدد ساعات ذروة ضوء الشمس في موقعك. هذا أمر بالغ الأهمية لأنه يختلف اختلافا كبيرا حسب الجغرافيا.
س (عامل الطقس): عامل لحساب الظروف الجوية الأقل من المثالية ، مثل الأيام الملبدة بالغيوم أو الممطرة. عادة ما يكون بين 1.2 و 2 ، اعتمادا على المناخ.
لماذا يهم: الحساب الدقيق لطاقة الألواح الشمسية أمر بالغ الأهمية. يمكن أن يؤدي التقليل من التقدير إلى توليد طاقة غير كاف ، في حين أن المبالغة في التقدير يمكن أن تزيد التكاليف دون داع. في المناطق ذات الطقس غير المتوقع ، يضمن اختيار قيمة س أعلى الموثوقية.
مثال: إذا كنت في قوانغتشو ، الصين ، وكان حمولتك اليومية 5 كيلو وات مع 4 ساعات من التشغيل ، واخترت عامل س 1.5 ، فستحتاج إلى حوالي 9437 واط من الألواح الشمسية لضمان توليد طاقة ثابت.
2. حساب سعة البطارية
البطارية هي قلب النظام الشمسي الخاص بك، تخزين الطاقة للاستخدام عندما لا تكون الشمس مشرقة. يتضمن حساب سعة البطارية الصحيحة (ج) ما يلي:

أين:
ج (السعة): سعة البطارية المطلوبة في أمبير ساعة (آه).
فولت (الجهد): جهد النظام ، غالبا 12 فولت أو 24 فولت أو 48 فولت ، حسب الإعداد الخاص بك.
ك (معامل التفريغ): يعكس عمق التفريغ وكفاءة البطارية والعوامل البيئية. يتراوح عادة من 0.4 إلى 0.7. تعني القيم الأعلى تصريفات أعمق وبطاريات أصغر ، ولكن على حساب عمر البطارية.
البصيرة الرئيسية: اختيار سعة البطارية هو التوازن بين التكلفة والموثوقية. بينما توفر البطاريات الأكبر حجما مزيدا من النسخ الاحتياطي أثناء سوء الأحوال الجوية ، فإنها تزيد من تكلفة النظام. من المهم إيجاد حل وسط بناء على احتياجاتك وميزانيتك المحددة.
مثال: بالنسبة لنظام بحمل 5 كيلو وات ويوم واحد من الطقس الغائم ، يمكنك حساب الحاجة إلى سعة بطارية تبلغ حوالي 200 أمبير في الساعة عند 48 فولت ، بافتراض معامل تفريغ 0.5 وكفاءة عاكس 0.9.
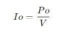
3. اختيار وحدة تحكم الشحن بالطاقة الشمسية
ينظم جهاز التحكم في الشحن الشمسي الجهد والتيار من الألواح الشمسية إلى البطاريات ، مما يمنع الشحن الزائد. لتحديد وحدة التحكم الصحيحة:

أين:
إو (تحكم الحالي): التصنيف الحالي المطلوب لوحدة تحكم (في الامبير).
الخامس (الجهد): الجهد النظام ، مطابقة الجهد البطارية.
اعتبار مهم: في المناطق ذات الارتفاعات العالية ، يمكن أن تكون شدة ضوء الشمس أعلى ، مما قد يتجاوز سعة وحدة التحكم. في مثل هذه الحالات ، من الحكمة اختيار وحدة تحكم ذات تصنيف حالي أعلى لضمان المتانة على المدى الطويل.
نصيحة التكامل: غالبا ما تجمع الأنظمة الحديثة بين وحدة التحكم في الشحن والعاكس ، مما يبسط عملية التثبيت. ومع ذلك ، تأكد من أن الوحدة المدمجة تلبي جميع احتياجات الطاقة الخاصة بك.
4. اختيار العاكس
يقوم العاكس بتحويل طاقة التيار المستمر من الألواح الشمسية أو البطاريات إلى طاقة تيار متردد للأجهزة المنزلية. الاختيار السليم للعاكس (ين) ينطوي على:

أين:
ين (قدرة العاكس): قدرة العاكس في فا.
كوسكس (معامل القدرة): عادة حوالي 0.8 ، مما يعكس كفاءة تحويل طاقة التيار المتردد.
س (هامش الأمان): عامل لحساب طفرات بدء التشغيل ، خاصة مع الأحمال الاستقرائية مثل المحركات والضواغط. هذا هو عادة بين 1.1 و 1.3.
لماذا هو حاسم: يمكن أن يؤدي اختيار عاكس بسعة غير كافية إلى فشل النظام ، خاصة عند التعامل مع الأحمال الاستقرائية مثل مكيفات الهواء أو المضخات. ضع في اعتبارك دائما هامش أمان لاستيعاب هذه الزيادات المفاجئة.
مثال: بالنسبة لمكيف هواء بقدرة 1.3 كيلو واط ، مع الأخذ في الاعتبار زيادة 3 أضعاف للحمل الاستقرائي وهامش أمان يبلغ 1.1 ، ستكون سعة العاكس المطلوبة حوالي 5.36 كيلو واط.
5. تكوين النظام
من خلال جمع كل هذه الحسابات معا ، يمكنك تكوين نظام يلبي احتياجاتك الخاصة.
مثال التكوين:
الموقع: أبوجا ، بمتوسط 5.45 ساعة ضوء الشمس في اليوم.
إجمالي طاقة الحمل: 1965 واط ، بما في ذلك الحمل الاستقرائي (مكيف الهواء).
تخزين الطاقة: 15635 واط في الساعة ، يكفي ليوم واحد على الأقل من النسخ الاحتياطي.
نوع النظام: خارج الشبكة ، مع عدم الاعتماد على مصادر الطاقة الخارجية مثل المولد أو الشبكة.
نوع البطارية: ليثيوم أيون ، ويفضل لعمر طويل وقدرات التفريغ العميق.
البصيرة العملية: هذا التكوين مثالي للمواقع ذات ضوء الشمس المتسق والبنية التحتية الدنيا ، مما يضمن مصدر طاقة موثوقا به حتى خلال الفترات الملبدة بالغيوم.

6. مخطط الأسلاك النظام
الخطوة الأخيرة هي إنشاء مخطط تفصيلي للأسلاك. يجب أن يظهر هذا بوضوح التوصيلات بين الألواح الشمسية والبطاريات والعاكس ووحدة التحكم في الشحن والأحمال. يعد مخطط الأسلاك المرسوم جيدا ضروريا لكل من تركيب النظام وصيانته ، مما يضمن توصيل جميع المكونات وحمايتها بشكل صحيح.
لماذا هو مهم: يقلل مخطط الأسلاك الواضح من أخطاء التثبيت التي يمكن أن تسبب عدم كفاءة النظام أو حتى الفشل. كما أنه بمثابة مرجع قيم لاستكشاف الأخطاء وإصلاحها والترقيات المستقبلية.
سواء كنت بحاجة إلى تصميم لتطبيق سكني أو تجاري أو صناعي ، اتصل بنا على www.suness.com ويمكننا مساعدتك في تصميم نظام تخزين الطاقة الخاص بك مجانا!
RNLeave_Your_Message
القيم الأساسية للمؤسسة
شغف، سعي، براغماتية، واعد
الرؤية المؤسسية
أن تصبح رائدا عالميا في تخزين الطاقة الذكي
المهمة المؤسسية
دع الطاقة النظيفة تدخل آلاف الأسر
